吉時利2450源表在薄膜材料電阻率測試中的應用
最近,我遇到了一個關于測試薄膜材料電阻率的項目。客戶需要一個探針臺,并且需要配備一臺儀器來進行電阻率測試。為了滿足客戶的要求,我決定采用四探針法加上源表的方法來進行薄膜材料的電阻率測試。
四探針法是一種常用的測試電阻率的方法,它通過使用四個探針來測量薄膜材料的電阻。這種方法可以減少接觸電阻的影響,提高測試的準確性。而源表則是一種用于電阻測試的儀器,它可以提供穩定的電流源和精確的電壓測量,從而實現精準的電阻率測試。
測試方案搭配:
方案一:
探針臺+源表

探針臺示意圖

源表示意圖
搭配示例:
廣州四探針RTS-2型臺子:
基本指標:
間距:1±0.01mm;
針間絕緣電阻:≥1000MΩ;
機械游移率:≤0.3%;
探針:碳化鎢或高速鋼材質,探針直徑Ф0.5mm;
探針壓力:5~16牛頓(總力);

吉時利2450源表:


原理簡述:
什么是電阻率?

一種材料的電阻率表征的是阻礙電流流過的能力的大小。其單位為Ω·m/Ω·cm。如果電流很容易在某種材料中流過,那么該材料有較低的電阻率;如果電流很難流過某種材料,那么該材料有較高的電阻率,電阻率為材料的本質物理屬性,與大小和形狀無關。
常見材料電阻率:

薄膜材料電阻率測試----方塊電阻:

ρ:單位Ω·m
V:測得的電壓
I:測得的電流
W:寬
H:高
L:長
補充:
?通常需要測各種材料的薄膜或薄片電阻,如果材料可以做成長方形,那么就可以像測量條狀樣品一樣測量電阻率;
?有一種特殊情況,當W寬度和L長度相等時,此時材料為正方形,電阻值被稱為方塊電阻Rs,即表面電阻率。
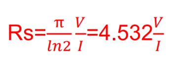
薄膜材料電阻率測試----四探針法:


?對于任意形狀和任意大小的薄膜材料,比較方便的方法是四探針法
?要求:
①四點共線②四根針等間距③材料長度和寬度遠大于探針間距。
測試提示:
探針接觸方式
探針接觸應保持一定的壓力,但不同材料的性質不同,有些材料的電阻率會隨外加壓力變化而改變,因而測試前要依據具體的測試材料而適當的改變探針壓力。首先用粗調鍵旋轉探針至樣品表面,略有壓力后停止。再細調一定距離,保證測量時表面讀數穩定后即可。
總而言之,為了滿足客戶的需求,我決定采用四探針法+源表的方法來進行薄膜材料的電阻率測試。這種方法可以提供準確的測試結果,并且避免了接觸電阻的影響。通過這種方法,我們可以為客戶提供高質量的測試服務。






關注官方微信
