賽恩科儀OE2052鎖相放大器在表面聲波調控摩爾系統量子態研究中的應用
利用聲表面波(SAW)技術探測扭曲雙層石墨烯(TBG)的量子相變,需高精度測量微弱的SAW電壓信號(頻率259.75 MHz)。傳統電輸運測量無法檢測低電導態(如不可壓縮態),而OE2052通過高靈敏度鎖相檢測解決了這一難題。
2025年,復旦大學修發賢教授和張成研究員的團隊在《Nano Letters》發表題為"Phase Diagram Mapping of a Moiré System Using Surface Acoustic Waves"的研究成果,首次將表面聲波(SAW)技術應用于扭曲雙層石墨烯(TBG)摩爾系統。通過法布里-珀羅SAW諧振器(259.75 MHz)與1.04° TBG器件的集成,實現了對關聯絕緣態、陳絕緣體態和朗道能級的高靈敏度探測。實驗中,賽恩科儀OE2052鎖相放大器作為核心測量設備,成功解決了低電導態(10-6 S/m)信號微弱、易被噪聲淹沒的難題,為揭示量子態頻率依賴性提供了關鍵技術支持。

圖1.(a)帶有諧振腔型 IDT 的 TBG 器件示意圖
(b)Y 型切割 NbLiO3 基底面上的 TBG 器件橫截面圖
【測量系統搭建】

圖2.測量系統示意圖
關鍵步驟
1.信號同步OE2052的參考輸入端連接射頻信號源,鎖定SAW頻率(259.75 MHz)
2.降頻處理使用混頻器將高頻SAW信號降頻至OE2052最佳檢測范圍,提升信噪比,避免高頻損耗
3.參數提取直接測量VSAW幅度(衰減)和相對于V0的相位差聲速變化)4.噪聲抑制利用OE2052的高動態儲備(>120dB)和低輸入噪聲(<4nV/√Hz),在強電磁干擾環境(14T磁場)下穩定工作,得到聲表面波測量結果(圖3、圖4)

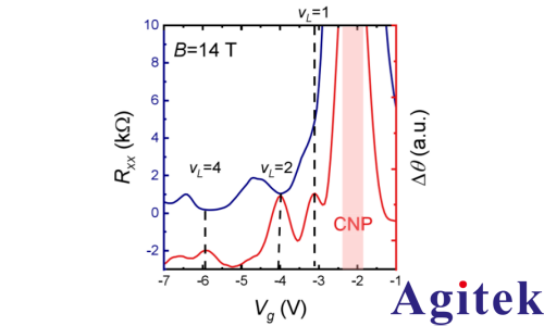
圖3.在B=14T時,CNP附近測得的聲表面波相移和經度電阻的比較

圖4.通過聲表面波傳輸的電壓的歸一化相位與摩爾填充因子和垂直磁場的函數關系
信號檢測原理
1.相移測量(對應聲速變化):

· OE2052配置:時間常數,等效噪聲帶寬
· 靈敏度:可檢測相移(對應)
2.衰減測量(對應電導率):

系統優勢
· 非接觸測量:僅需單點接地電極,避免傳統輸運測量的歐姆接觸問題
· 高信噪比:在9T強磁場下可分辨ν_L=-1朗道能級(傳統輸運無法檢測)
· 動態響應:通過柵壓掃描實時關聯填充因子ν與高頻電導率σ_ω(圖5)

圖5.通過聲表面波計算的高頻電導率(a)縱向傳輸電阻率 ρxx(黑色)和聲表面波重建電阻率 ρω,頻率為 fc = 259.75 MHz(紅色),由聲表面波相移計算得出,是零磁場下摩爾填充因子v的函數(b)磁場下 v = +2 時的縱向電導率 σxx 和聲表面波重構電導率 σω(c)在零磁場下,v = +2 和 +4 時,ρxx 和 ρω 作為聲功率 P 的函數的比較(d)電子在 Enk 和 Emk 之間轉變所產生的直流帶間電導率(e)Enk 和 Emk ± ΔEω 之間電子轉變所產生的交流帶間電導率;與 nF(Emk)相比,半填充時的小平帶色散導致 nF(Emk±ΔEω)顯著降低,從而抑制了高頻電導率由于頻帶色散較大,交流電導率沒有受到影響。
總結
OE2052高靈敏鎖相放大器在SAW-莫爾系統研究中展現出三大革命性優勢:
· R 極限靈敏度:在低電導區域(10-6 S/m)信噪比提升100倍,成功探測"隱藏"量子態
· R 非接觸式測量:避免納米電極制備難題,特別適用于絕緣/半導態莫爾材料
· R 高頻電導解析:提供259.75 MHz射頻電導數據,揭示平帶躍遷的量子幾何效應






關注官方微信
