4225-PMU 10 ns 超短脈沖輸出能力與波形驗證
4225-PMU有3種模式:分段Arb,全Arb和標準脈沖模式。在標準脈沖模式下,PMU可以在5V范圍內實現10ns的脈沖寬度。
標準脈沖模式產生兩個電壓等級的脈沖,但不進行測量。脈沖定時由觸發和脈沖開始之間的延遲、上升時間、下降時間、脈沖寬度和脈沖周期構成。
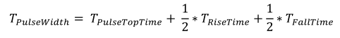
定義的脈沖寬度采用半峰全寬 (full width half maximum, FWHM) 標準。脈沖寬度的計算公式如下:

脈沖頂時間由PMU根據用戶指定的脈沖寬度、上升和下降時間計算。然后脈沖周期是延遲、脈沖寬度、1/2的上升和下降時間和任何閑置時間的總和,如下面的等式所示:

脈沖模式的定時參數如下圖所示:

圖1. 脈沖計時
由于標準脈沖模式不需要測量,PMU可以實現其最小10ns脈沖寬度。PMU_examples_ulib用戶庫中的PMU_10ns_Pulse_Example模塊使用精確的參數進行設置,以演示這種脈沖功能。將示波器連接到PMU的輸出,可以獲取脈沖波形。

圖2: 使用示波器捕獲的脈寬為10ns的脈沖
硬件要求 :
4225-PMU帶或不帶4225-RPM
水平分辨率為20ns的示波器
白色SMA電纜 (無RPM) 或三軸電纜 (有RPM)
SMA母轉BNC公轉適配器 (無RPM) 或Triax母轉BNC公轉適配器 (有RPM)
在示波器上查看輸出
1. 打開Clarius并設置測試
a) 創建一個新項目
b) 添加一個通用2端被測
c) 添加自定義UTM測試
d) 置UTM為PMU_examples_ulib庫,并選擇PMU_10ns_Pulse_Example 模塊
e) 選擇需要配置的4225-PMU
f) 選擇所需通道
2. 將示波器連接到4225-PMU上
a) 無RPM:將SMA電纜連接到所需通道輸出,然后將另一端通過SMA轉BNC適配器連接到示波器。
b) 帶RPM:將三軸電纜連接到所需RPM的Force輸出端,然后將另一端通過三同軸轉BNC適配器連接到示波器。
3. 設置示波器來捕獲脈沖
a) 垂直分辨率:200mV
b) 通道終端:50Ω
c) 水平分辨率:20ns
d) 水平延遲:關閉
e) 觸發類型:邊沿
f) 觸發的邊沿:上升
g) 觸發電平:~300mV
4. 示波器將捕獲波形
將示波器設置為單次觸發,并在Clarius中運行UTM,示波器將捕獲波形。

圖3: 使用混合域示波器進行波形捕獲
5. 使用自動測量或光標驗證10ns脈沖寬度
a) 注意:脈沖寬度為FWHM/ 半峰全寬標準,應從最大振幅上升和下降的一半開始測量。
b) 對于這個模塊 ( 脈沖從-1V到1V),脈沖判定取值在0V

圖4. 光標測量脈沖寬度






關注官方微信
