Keithley 2400系列數字源表簡易操作手冊
吉時利數字源表系列特別適用于需要精密電壓源和電流源驅動,同時進行電流與電壓測量的測試應用。所有源表都提供精密的電壓和電流源測量能力。每個源表均由一個高穩定的直流源和一個真儀器級的5位半多功能表組成。該電源特性包括:低噪聲,高精度和回讀功能。萬用表功能包括高重復性和低噪音。其結果形成了一個緊湊的單通道直流參數測試儀。
20W 時性能高達 200V/1A
0.012% 基本測量精度,具有 6? 位分辨率
2 線、4 線和 6 線遠程 V 源和測量傳感
與 KickStart 軟件結合使用
功能:
? 電壓源、電流源、電壓表、電流表四合一新型儀器,適用于快速直流測試
? 可選高電壓型 (1100V)、大電流型 (3A) 或大電流脈沖型 (10A) 電源/測量
? 最大功率:20W (2400 和 2410),60W (2420),100W (2430 直流模式),1kW (2430 脈沖模式) ? 五位半電表, 0.012%準確度
? 可作六線式奧姆測量
? 程控電流/電壓,并可設定箝制準位
? 最快速度可達 1000 點/秒(GPIB 接口)
? 內建快速「通過/失效」比較器,適用于自動化質量管理
? 數字 I/O 可直接與其它儀器溝通
? IEEE-488 和 RS-232 界面
? 除量測電壓、電流外,并可直接量測電阻、功率、百分率、補償電阻(Offset Compensated Ω)、變阻器α值(Varistor α)、電壓系數(Voltage Coefficient)
面板簡介:

屏幕顯示:如圖 2-1 所示,屏幕左上方所顯示為「量測值」,右上方為「輸出開/關」顯示, 左下方為「電源輸出值」,右下方為「箝位值」顯示。

Power:電源開關
MEAS 選擇鍵:選擇所欲量測的訊號
(1) V 量測電壓
(2) I 量測電流
(3) Ω 量測電阻
(4) FCTN 量測功率 , 補償電阻 ,電壓系數 , 變電阻 ALPHA 值 ,百分率 (初 始設定為功率)
SOURCE 選擇鍵:選擇電源輸出型式
(1) V 輸出電壓
(2) I 輸出電流
(3)▲和▼ 增加或減少輸出值或箝位值 (Cmpl)
操作鍵:
(1) EDIT 選擇設定電源輸出值或箝位值
(2) TOGGLE 切換輸出值與量測值位置
(3) LOCAL 取消遠程計算機控制,回到儀器面板控制
(4) REL 開啟/取消參考數值比較
(5) FILTER 開啟/取消數字濾波
(6) LIMIT 開啟/取消限制值測試
(7) TRIG 從面板觸發開始量測
(8) SWEEP 開始輸出設定好的掃瞄電壓或電流
(9) DIGITS 改變量測顯示數字
(10) SPEED 改變量測速度及精準度
(11) STORE 設定記憶數量并開始儲存
(12) RECALL 顯示儲存的量測數值
(13) CONFIG 設定 (加上其它按鍵,如 CONFIG + SWEEP 可設定掃瞄輸出)
(14) MENU 進入可儲存設定值,更改通訊方式(IEEE-488 or RS232),或校正
(15) EXIT 跳出 (16) ENTER 確認
RANGE:范圍選擇
(1) ▲ 更改為較大的范圍
(2) ▼ 更改為較小的范圍
(3) AUTO 自動切換至最佳范圍
OUTPUT:
(1) ON/OFF 開啟/取消電源輸出
操作入門
A.輸出電壓,量測電流
1.接線如圖 3-1。
2.按 SOURCE V ,設定輸出電壓(由”EDIT” 左、右鍵來更改光標位置,并經由 ”SOURCE” ▲ , ▼ 及各數字鍵來設定數值)。
3.按 MEAS I(量測電流)。
4.按 OUTPUT ON/OFF 輸出。(燈亮代表輸出) ※若單純量測電流,可將電壓設為 0V 做電流表用。
5.自面板讀取量測值

B.輸出電流,量測電壓
1. 接線如圖 3-1。
2.按 SOURCE I ,設定輸出電流(由”EDIT” 左、右鍵來更改光標位置,并經由 ”SOURCE” ▲ , ▼ 及各數字鍵來設定數值)
3.按 MEAS V(量測電壓)
4.按 OUTPUT ON/OFF 輸出。(燈亮代表輸出)
※若單純量測電壓,可將電流設為 0A 做電壓表用。
5.自面板讀取量測值。
C.量測電阻
1.做兩線式量測接線如圖 3-1;若做四線式量測接線如圖 3-2。
2.先按「CONFIG」再按「?」,做電阻量測設定,進入「SENSE-MODE」,選擇兩線式量 測或四線式量測。
3.按 SOURCE I。
4.按 MEAS Ω。
5.按 OUTPUT ON/OFF 輸出電源。
6.自面板讀取量測值

C.量測功率
1. 接線如圖 3-1。
2.先按「CONFIG」,然后按「FCTN」,選擇「POWER」然后按「ENTER」
3.按 SOURCE I 或 V。
4.按 MEAS 「FCTN」。
5.按 OUTPUT ON/OFF 輸出電源。
6.自面板讀取量測值。
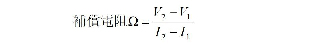
補償電阻(Offset Compensated Ω)

1. 接線如圖 3-1。
2.先按「CONFIG」,然后按「FCTN」,選擇「OFF-COMP-OHMS」然后按「ENTER」。
3.設定 I1,I2。
4.按 SOURCE I。
5 按「FCTN」。
6.按 OUTPUT ON/OFF 輸出電源。
7.自面板讀取量測值。
D.量測變阻器α值(Varistor α)

1.接線如圖 3-1。
2.先按「CONFIG」,然后按「FCTN」,選擇「VAR-ALPHA」然后按「ENTER」。
3. 設定 I1,I2。
4.按 SOURCE I。
5.按「FCTN」。
6.按 OUTPUT ON/OFF 輸出電源。
7.自面板讀取量測值






關注官方微信
