使用普源示波器DHO4000系列測試電池的瞬態能量
普源DHO4000系列數字示波器是針對最廣泛的主流數字示波器市場的設計、調試、測試的需求而設計的數字示波器。搭載 RIGOL 全新自研半人馬座芯片組,實現了 1,500,000 次/秒波形捕獲率(Ultra AcquireMode)、500 Mpts 存儲深度、12 bit 分辨率、優秀的本底噪聲性能和垂直測量精度,能滿足更高精度的測量需求,為用戶帶來超凡的測試測量體驗。

普源DHO4000系列數字示波器
產品特點
? 搭載 RIGOL 全新自研半人馬座芯片組
? 超低本底噪聲,最低可達 18 μVrms
? 全系列提供 12 bit 硬件高分辨率[1]
? 可選 200/400/800 MHz 模擬帶寬,4 個模擬通道,1 個外觸發通道
? 最高 4 GSa/s 實時采樣率
? 最大 500 Mpts 存儲深度(選配)
? 高達 100 μV/div 的垂直靈敏度
? 提供凝時獲取模式(Ultra Acquire Mode),最高 1,500,000 wfms/s
? 10.1 英寸 1280*800 高清觸控顯示屏
? 全新 Flex knob,帶來更人性化的交互體驗
? 全系標配光電編碼器,有效提高產品使用壽命
? 全系標配 USB Device&Host,LAN,HDMI 接口
? 支持電池包供電,隨時隨地,測量不設限
? 支持在線版本升級功能
瞬態能量測試概念:在規定的時間內,被測產品瞬間釋放了多少能量。如下圖的陰影部分面積。
介紹完DHO4000系列,那么如何通過普源示波器去測試瞬態能量?

下面我們進行一個模擬測試。
模擬帶寬70MHz,100MHz,200MHz,350MHz,500MHz
實時采樣率最高2GSa/s
存儲深度可達200Mpts/ch
波形捕獲率達500,000wfm/s
儀器主要設置
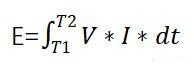
首先,要得到瞬態能量,我們應該知道哪些參數呢?
根據能量的公式:

我們需要知道電壓、電流、以及我們想要觀察的時間段dt。
這些參數如何得到呢,下面我們通過示波器來一一得到以上參數。
通道C1,設置為電壓測量
通道C2,設置為電流測量(需要一根電流探頭)
這樣我們就得到了所需的電流、電壓。
積分面積我們應該如何得到呢?
通過普源示波器自帶的數學功能,我們設置相應的函數計算:

這樣我們就得到了所需的能量面積。
最后再打開門限功能,得到我們想要測試的時間段能量。
想要了解更多應用,歡迎登陸安泰測試。






關注官方微信
