泰克示波器的帶寬和上升時間關系是什么?
一. 理論分析與推導
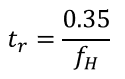
我們可能或多或少的聽過示波器的帶寬和上升時間有一個0.35的關系,如圖1所示。

圖 1 帶寬和上升時間的關系
示波器的帶寬fH和輸入電壓的幅值Vpp的關系,如果示波器帶寬過低,會導致測出來的波形可能出現“吉布斯現象”,因此示波器的帶寬、上升時間、幅值大小的三角關系如圖2所示。

圖 2 三角關系
當輸入的方波幅值 0-Vpp 時,我們需要探索在不同Vpp下,示波器的上升時間tr是否不一樣,我們一般定義穩態值的10%上升到90%時需要的時間為上升時間 tr,如圖3所示。

圖 3 上升時間
以示波器一階RC低通等效電路為例,截止頻率為:

上式中,K為階躍之后的幅值。
假設y(t1)=0.1K;y(t2)=0.9K;可以列出如下等式:

因此,我們得到的結論是,在輸入一個幅值為K的階躍響應時,在計算響應的上升時間tr時,幅值K會被約掉,從而示波器的上升時間與被測的幅值無關。
二. 實驗驗證與分析
首先,我們以100MHz的泰克示波器DPO2014對不同峰值的方波做測試,實驗結果如下所示:

圖 11 100MHz的示波器測試結果
由上面三個測試圖可知,上升時間在9.4-9.88ns之間,平均上升時間為9.62ns。
在測量誤差范圍內,可以認為100MHz示波器下,不同幅值的方波上升時間基本一致,大約為9.62ns。
其次,我們以200MHz的Tekronix-DPO2014B示波器對不同峰值的方波做測試,實驗結果如下所示:

圖 12 200MHz的示波器測試結果
由上面三個測試圖可知,上升時間在8.38~8.6ns之間,平均上升時間為8.5ns
在測量誤差范圍內,可以認為200MHz示波器下,不同幅值的方波上升時間基本一致,大約為9.62ns。
由圖11~12可知,測試結果表明兩個示波器的上升時間tr相差為1.12ns,而我們查閱了數據手冊,整理了這兩個示波器的上升時間,如圖13所示。

圖 13 上升時間
在數據手冊里面,兩者的上升時間相差1.5ns,測試結果相差1.12ns,實驗測試符合趨勢。
三. 結論
通過理論分析以及實驗驗證的方式,我們發現上升時間與待測信號的幅值沒有必然的關系,如圖14所示。而上升時間tr 只和示波器的帶寬 fH 有關,一般是0.35的關系,至于為什么是0.35~0.5倍的關系,是因為對于一些高端的示波器,內部會進行一定的響應補償,所以幅頻響應不一定呈現的是RC低通濾波的特性,那么計算出來也就不一定是0.35的關系了!

圖 14 三角關系
更多關于泰克示波器的詳情信息和應用方案,歡迎咨詢安泰測試。






關注官方微信
